Электромагнитная Вселенная и природа фундаментальных взаимодействий (тезисы)

Количество просмотров - 75937
1 516 - Количество посетителей

   

copyright_1.gif

© 2007

Aвторы: Розанов Н.Н., Розанов О.Н.

   

1. Предисловие. 

Перед современной теоретической физикой стоит проблема создания единой теории поля, требующей огромных интеллектуальных и материальных затрат всего человечества, изложенных в лекции М.Гелл-Манна под названием «Вопросы на будущее» ((1)стр.265-289)

В этой лекции, в частности, утверждается:

… «Чтобы установить родственную связь различных элементарных частиц, используется понятие «Суперсимметрия» — симметрии, связывающей частицы с различными спинами»… «Самая обширная и современная из найденных до сих пор теорий подобного типа называется «Супер гравитация N-8». Она включает фундаментальные поля, соответствующие:

  • 1 гравитон со спином 2,
  • 8 новых объектов со спином 3/2, называемых гравитино,
  • 28 квантов со спином 1/2,
  • 70 объектов со спином 0,

которые, возможно полезны для нарушения симметрии»… «В супер гравитации энергия эффективной унификации сил ещё выше, чем в предыдущей схеме унификации»… «В теории «Супер гравитации» мы должны экстраполировать наши сегодняшние знания с энергии примерно 10ГэВ, до её величины порядка1019ГэВ, а может быть и выше»!(В теориях Янга–Миллса – до1015ГэВ).

Койновещество и антивещество Вселенной (10) состоит из стабильных диад:

\left (\overset{\pm}{p}\right ) + \left (\overset{\mp}{e}\right ),

энергия которых ~1 ГэВ, то возникает вопрос зачем Природе создавать (порождать) частицы с энергией 1019ГэВ?! (автор Розанов Н.Н.).

2. При изучении структуры элементарных стабильных носителей электрических зарядов:

\left(\overset{\pm}{p}\right) и \left(\overset{\mp}{e}\right),

автору стали известны мнения некоторых крупных ученых.  Вот, что пишет японский физик Синъити́ро Томонага:

«Однако нельзя считать современную теорию элементарных частиц законченной» действительно она успешно предсказала свойства отдельных частиц, но натолкнулась на трудности при рассмотрении взаимодействия между ними. Во многих случаях теория не только не согласуется с опытом, но и приводит к бессмысленным выводам. Таким образом, современная теория элементарных частиц дает надежный ответ на вопросы относящиеся к свободным частицам или явлениям, описывающимся, первыми порядками теории возмущений при слабом взаимодействии. В случае сильного взаимодействия она оказывается беспомощной и не позволяет получить ни точных решений, ни поправок высокого порядка». «Перспективы квантовой физики», «Наукова думка» 1982г. (Перевод с японского).

3. После экспериментального обнаружения нарушения пространственной чётности,   Л.Д.Ландау предложил идею «комбинированной инверсии». Суть идеи состоит в том, что нельзя рассматривать частицы отдельно от античастиц, вещество от антивещества. Если эти два вида материи рассматривать совместно, нарушения пространственной «киральной» симметрии не будет (Ф.Э.С. — «Физи́ческий энциклопеди́ческий слова́рь»).

4.  Патриарх современной физики И.Ньютон утверждал:

– «Природа проста и не роскошествует излишними причинами вещей», 

а ещё раньше – Оккам:

«Не приумножай сущностей без надобности».

Согласно утверждению Ньютона:

… «Тяготение к Солнцу составляется из тяготения к отдельным частицам его и при удалении от Солнца убывает в точности пропорционально квадратам расстояний»… «причину же этих свойств силы тяготения не мог вывести из явлений, гипотез же я не измышляю» ((2)стр.661-662).

Следовательно, согласно Ньютона, с учетом экспериментального факта, что вещество состоит из диад – протон + электрон (нейтрон также составной (3,15)), то гравитационным полем обладает каждая диада:

\left (\overset{\pm}{p}\right ) + \left (\overset{\mp}{e}\right ),

вещества или антивещества.

5. В статье «Теория относительности и её обобщения»Э.Реками ((5)стр.53-128), на странице 87, раздел «Антивещество»,сказано:

… «принцип реинтерпретации исключает любую передачу информации в прошлое (даже с помощью тахионов), одновременно он дает возможность предсказать – просто из соображений относительности – существование антивещества»… «Принципом реинтерпретации следует назвать свойство частиц материи, заключающееся в том, что: «объектов с отрицательной скоростью, движущихся вперёд во времени, не существует. Любой объект с отрицательной энергией, движущийся назад во времени (например, электрон! (Авт.)) может и должен быть реинтерпретирован как его анти объект, движущийся в противоположном направлении в пространстве, но наделенный положительной энергией и движущийся вперёд во времени. Объектов с положительной энергией, движущихся назад во времени не существует. Физические сигналы переносятся только объектами, движущимися вперёд во времени, или только объектами с положительной энергией» (5).

Согласно Э.Реками следует:

а) положительные частицы протон и позитрон – брадионы.  

б) отрицательные частицы антипротон и электрон – тахионы.

6. Согласно «Поляризационной модели неоднородного физического вакуума» В.Л.Дятлова (4), домены вещества и антивещества абсолютно равноправны и свободно плавают во всём пространстве А.Ф.В., и разделены между собой световым конусом». Откуда следует, что вещество и антивещество во Вселенной абсолютно равноправны.

7. В 1922 году французский математик Эли Картан, совершенно определённо утверждал:

«В Природе должны существовать поля порождаемые вращением».

Это предположение математика, получило строгое теоретическое обоснование только в конце ХХ века: Филимонов (8,9), Шипов Г.И. (3), Акимов А.Е. (7)  и др.  Вышеуказанное утверждение Э.Картана имеет фундаментальный характер и позволяет объяснить с точки зрения классической физики, например теорию Бора и стабильность любых объектов Вселенной, вращающихся с постоянной угловой скоростью и следовательно не излучающих и не поглощающих энергию. Излучение или поглощение энергии происходит только при:

dω/dt ≠ 0,

т.е. при приращении угловой скорости.

Открытия изложенные в работе настоящих авторов «Электромагнитная Вселенная», абсолютно и неоспоримо подтверждает высказывание Эли Картана, что «В Природе должны существовать поля (и свойства \left(\overset{\pm}{p}\right) и \left(\overset{\mp}{e}\right) (от авторов)) порождаемые вращением»:

  • Масса  покоя протонов — антипротонов, электронов — позитронов.
  • Элементарный заряд \left (\overset{\pm}{p}\right ) и \left (\overset{\mp}{e}\right ).
  • Гравитационное  или прибавочное электродинамическое поле

являются результатом вращения!

8. В теории физического вакуума Г.И.Шипова утверждается, что конституентом всех видов материи (физический вакуум, элементарные частицы, газы, плазма, жидкости и твердые тела) является первичное торсионное поле, порождаемое из абсолютного «Ничто» ((3)стр.135-141). «Глобальный закон сохранения, выражаемый равенством:

0 0

в этом случае принимает вид:

((3)стр.139).

Следовательно, из абсолютного «Ничто» рождаются положительные – правые, со спином (+1/2ħv) и отрицательные – левые, со спином (-1/2ħv), нейтрино-торсионы парами, сумма кинетических энергий вращения которых равна нулю (3,7,8,9).

9. Согласно теории Реками (5) и теории Дятлова (4), следует признать, что положительные нейтрино-торсионы являются брадионами и при рождении уходят во времени-подобную область светового конуса, приобретая, в собственной системе отсчета, нулевую скорость, а отрицательные нейтрино-торсионы являются тахионами, и при рождении уходят в пространственно — подобную область светового конуса, приобретая, в собственной системе отсчета, скорость равную 2С.

10. Т.к. фотоны (γ-кванты) состоят из правого и левого нейтрино-торсионов, т.е. из брадиона и тахиона (8,9), а они между собой притягиваются, то при слиянии в фотон  (γ-квант) , последний приобретает скорость:

 

рождается люксон со спином;

|-1/2 ħ|+|1/2 ħ|= 1 ħ,

обладающий предельной скоростью в природе и следовательно предельной кинетической энергией, при собственной частоте (вращения), т.к. в данном случае, брадиону необходимо приобрести бесконечную энергию на разгон, а тахиону на замедление, до скорости света (5,9)! Следовательно, Природа обладает «коллайдером» недоступным человечеству, объединяются только близкие по частоте:

\left ( \overset{+}\Theta\right ) и \left ( \overset{-}\Theta\right ).

11.  Если энергия γ — квантов достаточна для рождения пары:

\left({\overset{+}{e}}+{{\overset{-}{e}}}\right) или \left({\overset{+}{p}}+{{\overset{-}{p}}}\right),

(койновещество и антивещество (10) состоят только из них), тогда, при неупругом рассеянии на барионах или друг на друге ((21)стр.649) — эти пары рождаются. Рождение пар стабильных носителей элементарных электрических зарядов:

\left (\overset{\pm}{p}\right ) и \left (\overset{\mp}{e}\right ),

означает, что при неупругом столкновении  γ-квантов, происходит расщепление на керны брадионов:

\left (\overset{+}{p}\right ) и \left (\overset{+}{e}\right),

– керны тахионов:

\left (\overset{-}{p}\right ) и \left (\overset{-}{e}\right ),

которые представляют собой «закрученные» в замкнутый контур  торсионы:

– партоны – керны:

\left (\overset{+}{p}\right ) и \left (\overset{-}{p}\right ),

партино – керны:

\left (\overset{-}{e}\right ) и \left (\overset{+}{e}\right ),

образовавшие центр вращения, создав тем самым собственную систему отсчёта:

  • положительные – во времени-подобной области светового конуса,
  • отрицательные – в пространственно-подобной области светового конуса.

12. Согласно соотношения неопределённости Гейзенберга, партоны и партино вынуждены вращаться с кинетической энергией:

ΔE\frac{\hbar{\times}c}{\Delta r}.

В работе 12 стр.439, статья «Краткий обзор экспериментальных данных», сказано, что … «спин партона равен 1/2, а не 0, или 1». Следовательно, спин протона обусловлен вращением партона «внутри» протона. Радиус вращения партона можно определить по максимальной энергии возбуждения вакуума в окрестности сферы вращения (см.приложение -1, кривая-1).

13. Для протона и антипротона, максимальная энергия возбуждения вакуума равна энергии виртуальных промежуточных векторных бозонов:

(приложение -1, кривая-1)

14. Для электрона и позитрона максимальная энергия возбуждения физического вакуума имеет порядок энергии виртуальных каонов:

(приложение – 1, кривая 3)

15.  В статье «Что такое спин?», Ohanian H.C. — Amer, j Phys. June 1986, v.54. 6,  сказано:

«…если сравнить расчеты момента импульса в дираковском и электромагнитном полях, то становится очевидным, что спин электрона полностью аналогичен моменту импульса классической поляризованной по кругу волны». « Спин в поле Дирака:

S = ħ / 2 ∫ Ψσ Ψ d3 x,

есть просто среднее значение величины, представляемой квантово – механическим оператором (σ), оператор спина должен иметь вид:

S(ор) = (ħ / 2)σ,

т.е. спин появляется в результате циркулирующего потока энергии (стр.75)».

Энергия волны:

U = 1 / M(0) C2∫ E_0^2d3x.

Спин:

S = 1 / M(0) C2∫(E_0^2/ω)d3x.

Отношение спина к энергии:

S(z) = 1 / ω.

Если нормировать волну так, чтобы её энергия была равна энергии кванта:

U = 1 / 2 ħω,

то её спин:

S(z) = 1 / 2 ħ

(стр.74).

Именно таким спином обладает партон ((12)стр.439), который «образует керн» протона (3,5). В заключении статьи Г.Оганьяна (стр.79), утверждается:

… «Особенностью нарисованной физической картины является тесная связь спина и орбитального момента. Обе эти величины возникают в связи с циркулирующим потоком энергии в полях волн, а различие между ними обусловлено математической процедурой разделения момента импульса на две независимые части. Общий подход к рассмотрению природы спина и орбитального момента даёт возможность понять природу спина так же хорошо, как природу орбитального момента, и перестать считать его какой-то загадочной величиной».

Таким образом, частота вращения партонов и партино, является частотой циркуляции энергии их волн.

16.  Согласно Ньютона (2), энергия поля убывает по закону обратного радиуса, а согласно Олейника (6), собственное поле (в отличие от излучённого!) является стоячей волной, жёстко связанной с местом локализации керна заряженной стабильной частицы:

\left (\overset{\pm}{p}\right ) и \left (\overset{\mp}{e}\right ),

энергия которой асимптотически убывает на всём пространстве Вселенной.

В работе Н.А.Жука ((14)стр.54) утверждается, что энергия гравитационного поля ограничивается расстоянием:

где ρ0 — средняя плотность Вселенной.

17. Первичным фундаментальным силовым взаимодействием Природы является кулоновское и сильное взаимодействия:

«конституция» которых выглядит следующим образом:

где взаимодействуют все объекты, например A и B, содержащие N атомов. Механизм возникновения избыточного заряда |Δq| нуклида — смотрите в главе 21 (на примере атома протия).

18.  Вторичным фундаментальным взаимодействием Природы, является гравитационное, когда, например в атомах протия (лёгкого водорода) или в нейтронах, которые так же состоят из протона и электрона (3,15), в соответствии требований теоремы о вириале (Р.Клаузиуса (11)), электрон и протон вынуждены вращаться вокруг общего центра тяжести. Т.к. масса покоя электрона в 1836 раз меньше массы покоя протона, то скорость орбитального вращения электрона в 1836 раз выше орбитальной скорости протона. В результате возникает два круговых микро тока – ток одного электрона, и ток одного протона, величина которых в системе СИ составляет:

I(e2) =|1,60218 × 10-19(cl)|2 = 2,56701023 × 10-38(A).

Этот ток, как и любой постоянный ток, «возбуждает в окружающем пространстве магнитное (по Амперу – электродинамическое (57)) поле. Напряжённость этого поля, в какой либо точке пространства, зависит от силы тока и расстояния между источником поля и точкой наблюдения» (С.В.Вонсовский «Магнетизм», Наука, Москва 1971, стр.41).

19  Вычисление гравитационного коэффициента для протия (¦H).

20.  Ответ на статью «Вселенная в тёмных тонах», ВПВ №9 и №10, 2005 г.

«Распределение массы отдельных стационарных галактик по радиусу определяется по экспериментально найденных кривых дифференциального вращения галактик с помощью соотношения:

M(r) = r ×V2/G »(16).

Из этого соотношения следует, что если G  протия в два раза меньше «стандартной» G, а G гелия — 4  меньше на ~7,4%, то вириальная масса указанных нуклидов во Вселенной во столько же раз больше, но из этих нуклидов на ~98% состоит вещество Вселенной! Вириальная масса Солнца так-же не ~1,99· 1030(кг), а ~3,3· 1030(кг)! Следовательно, значительная часть скрытой (тёмной) массы получает естественное объяснение.

Остальная часть «скрытой массы» находится в «не светящемся» веществе, состоящем из нейтральных диад:

\left (\overset{\pm}{p}\right ) + \left (\overset{\mp}{e}\right ),

обладающих электродинамическим (гравитационным) зарядом |Δq|, представляющим собой стоячую волну «размазанную» на всё пространство Вселенной, с убывающей энергией по закону обратного радиуса, и обладающую точно такими же свойствами как и любой электрический заряд той же плотности (17). Отдельные же элементарные носители электрических зарядов (даже обладающие массой покоя) не обладают электродинамическим зарядом, и не участвуют в «гравитационном» взаимодействии, но участвуют в кулоновском, сильном и слабом взаимодействиях.

21.   В журнале «Вселенная пространство время» №11, 2006г., в статье «Бритва Оккама» притупилась на «тёмной материи»?, рассмотрено 12 гипотез объясняющих ускоренное расширение Метагалактики, а в «Р.S» сказано:

«Для интерпретации отдельных фактов предлагаются робкие вариации на тему уже существующих объяснений, и это эпизодическое и бессистемное «латание» современной космологической теории уже не способно обеспечить существенного прогресса в понимании мироздания. Здесь нужны… «безумные идеи».

Проблема же ускоренного расширения Вселенной объясняется следующим экспериментальным фундаментальным фактом, что частицы койновещества и антивещества, рождаются и аннигилируют только парами (спонтанного распада протона и электрона и их античастиц не существует!). Поэтому количество койновещества и антивещества (10), во Вселенной одинаково, с точностью до одной диады и одной антидиады. Но диады имеют избыточный электродинамический заряд (-Δq) и следовательно на эту величину превышает по модулю положительный заряд протона, а антидиады имеют избыточный электродинамический заряд (+Δq) и, следовательно, на эту величину превышает отрицательный заряд антипротона (см.приложение-2) . Поэтому диады с |Δq| одного знака гравитируют, а противоположных знаков антигравитируют, таким образом, происходит сепарация диад и антидиад, т.е. разделение койновещества с антивеществом в Метагалактических масштабах, на галактики и антигалактики.

В работе «Миры и Антимиры» (10), шведские учёные Ханнес Альфвен и Оскар Клейн утверждают, что для космологии фундаментальное значение должна иметь симметрия между койновеществом и антивеществом, т.е. в наблюдаемой Вселенной

«каждая вторая галактика должна быть анти галактикой». «Поскольку Койновещество и антивещество проходят одни и те же стадии развития, возникновение койно элементов и анти элементов обусловлено одними и теми же факторами» (стр.108). «Однако трудно найти такой процесс, который может привести к разделению амбиплазмы в количестве, достаточном для образования целой галактики из чистого койновещества или чистого антивещества. В частности, дело здесь в том, что разделение амбиплазмы в таких гигантских масштабах связано с переносом частиц койновещества и антивещества в противоположных направлениях на огромные расстояния. Оценки, основанные на разумном выборе сил и характерных времен процесса, показывают, что, по-видимому, ни один из мыслимых механизмов переноса не в состоянии справиться с подобной задачей» (стр.93).

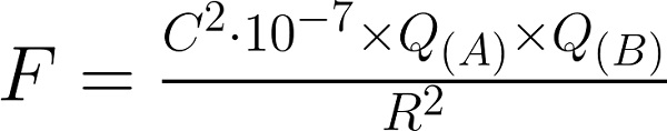
Авторы настоящей работы утверждают, что таким механизмом является антигравитация между койновеществом и антивеществом, из-за дефицита в притяжении между протонами койновещества и антипротонами антивещества, по отношению к избыточному отталкиванию между зарядом протона и избыточным зарядом позитрона (+Δq), зарядом антипротона и избыточным зарядом электрона (-Δq) с силой:

F = C2 × 10-7×|Δq|2(кл)/r2(Н)



Поэтому галактики с анти галактиками разбегаются с ускорением, из-за антигравитации между ними.

22.  Амбиплазма (10) генерируется из абсолютного «Ничто» (3) в «Д-телах» квазаров (термин академика Амбарцумяна), в которых вследствие кулоновского притяжения, протоны объединяются с электронами в атомы (диады) водорода, а позитроны с антипротонами в атомы (антидиады) антиводорода. Рождённые диады и антидиады между собой антигравитируют, что приводит к их сепарации и образованию облаков первичного водорода и антиводорода в диаметрально противоположных направлениях от «Д-тела». Одновременно, с такой же вероятностью с кулоновской силой, «стягиваются» протоны с антипротонами и электроны с позитронами, что приводит к их аннигиляции и порождению гамма — всплесков ((16),ВПВ, №10,2006г.).

Тезисы о «чёрных дырах».


  • Уважаемые посетители, что-бы оставить свой комментарий — регистрация не предусматривается.
  • Набор математических формул, в комментариях, редактируется в системе “LATEX”. Формула открывается словом katex [в квадратных скобках] и закрывается /katex [/в квадратных скобках].
  • Если ваш комментарий имеет ссылку, он автоматом направляется в спам, для проверки. Без ссылок, все комментарии публикуются без задержек.
1601 (общее количество) 1 (за текущие сутки)

2 комментария

  1. (((7. В теории физического вакуума Г.И.Шипова утверждается, что конституентом всех видов материи (физический вакуум, элементарные частицы, газы, плазма, жидкости и твердые тела) является первичное торсионное поле, порождаемое из абсолютного «Ничто» ((3)стр.135-141).)))
    Вы так серьёзно относитесь к этому автору?

    • Да в моей работе имеют место ссылки на работу Г.Шипова «Теория физического вакуума», это не означает
      что я согласен со всеми его заключениями и идеями, в моей работе отмечены только те моменты с которыми я абсолютно
      согласен.

Добавить комментарий

Ваш адрес email не будет опубликован. Обязательные поля помечены *