![]()
© 2007
Los autores – N.N.Rozanov, O.N.Rozanov.
Las traducciones de los títulos, de los artículos, de los libros, de las citaciones y declaraciones de los científicos – posiblemente no coinciden letra a letra con las traducciones oficiales, si tal existieran.
1. Prólogo.
La física teórica moderna se enfrenta al problema de la creación de una teoría unificada del campo, que requiere enormes esfuerzos intelectuales y materiales de toda la humanidad, expuestos en la conferencia de M. Gell-Mann titulada «Cuestiones para el futuro» ((1) págs. 265-289).
En esta conferencia, en particular, se afirma:
… «Para establecer la relación de parentesco entre las distintas partículas elementales, se utiliza el concepto de “Supersimetría”: una simetría que vincula partículas con diferentes espines».
«La más amplia y moderna de las teorías de este tipo descubiertas hasta ahora se llama “Supergravedad N-8”. Incluye campos fundamentales correspondientes a:
1 gravitón con espín 2,
8 nuevos objetos con espín 3/2, llamados gravitinos,
28 cuantos con espín 1/2,
70 objetos con espín 0,
que posiblemente sean útiles para la ruptura de la simetría».
«En la supergravedad, la energía de la unificación efectiva de las fuerzas es aún mayor que en el esquema de unificación anterior».
«En la teoría de la “Supergravedad” debemos extrapolar nuestros conocimientos actuales desde energías del orden de 10(GeV) hasta magnitudes del orden de 1019(GeV), o quizás incluso mayores». (En las teorías de Yang–Mills —hasta 1015(GeV)).
La sustancia y antisustancia del Universo (10) consisten en diadas estables:
\left (\overset{\pm}{p}\right ) + \left (\overset{\mp}{e}\right ),
cuya energía es de aproximadamente ~1(GeV). Entonces surge la pregunta: ¿para qué necesita la Naturaleza crear (generar) partículas con energías del orden de 1019(GeV)? (autor: Rozanov N.N.)
2. Al estudiar la estructura de los portadores elementales y estables de cargas eléctricas:
\left (\overset{\pm}{p}\right ) y \left (\overset{\mp}{e}\right ),
el autor N.N.Rozanov llegó a conocer las opiniones de algunos grandes científicos. Así escribe el físico japonés Sin’ichiro Tomonaga:
«Sin embargo, no se puede considerar que la teoría moderna de las partículas elementales esté concluida. En efecto, ha predicho con éxito las propiedades de partículas individuales, pero ha tropezado con dificultades al considerar las interacciones entre ellas. En muchos casos, la teoría no solo no concuerda con la experiencia, sino que además conduce a conclusiones carentes de sentido. De este modo, la teoría moderna de las partículas elementales da respuestas fiables únicamente a cuestiones relacionadas con partículas libres o a fenómenos que pueden describirse mediante los primeros órdenes de la teoría de perturbaciones, en el caso de interacciones débiles; en cambio, en el caso de interacciones fuertes resulta impotente y no permite obtener ni soluciones exactas ni correcciones de orden superior».
(Perspectivas de la física cuántica, “Naukova Dumka”, 1982, traducción del japonés).
3. Después del descubrimiento experimental de la violación de la paridad espacial, L.D.Landau propuso la idea de la «inversión combinada».
La esencia de esta idea consiste en que no se pueden considerar las partículas separadas de las antipartículas, ni la sustancia separada de la antisustancia.
Si se consideran conjuntamente estos dos tipos de materia, no habrá violación de la simetría «quiral» espacial (Ф.Э.С. – Diccionario Enciclopédico de Física).
4. El patriarca de la física moderna, I. Newton, afirmaba:
– «La naturaleza es simple y no se complace con causas superfluas»,
y aún antes, Ockham:
– «No multipliques los entes sin necesidad».
Según la afirmación de Newton:
… «La gravitación hacia el Sol se compone de la gravitación hacia las partículas individuales de éste, y al alejarse del Sol disminuye exactamente en proporción al cuadrado de las distancias»… «pero la causa de estas propiedades de la fuerza gravitatoria no pude deducirla de los fenómenos; hipótesis no invento» ((2) págs. 661-662).
Por lo tanto, según Newton, teniendo en cuenta el hecho experimental de que la sustancia está compuesta por díadas – protón + electrón (el neutrón también es compuesto (3,15)), cada díada posee un campo gravitatorio:
\left (\overset{\pm}{p}\right ) + \left (\overset{\mp}{e}\right ),
de la sustancia o de la antisustancia.
5. En el artículo «La teoría de la relatividad y sus generalizaciones» de E. Recami ((5) págs. 53-128), en la página 87, en la sección «Antisustancia», se dice:
… «el principio de reinterpretación excluye cualquier transmisión de información al pasado (incluso con ayuda de taquiones), al mismo tiempo que permite predecir – simplemente por consideraciones de relatividad – la existencia de la antisustancia»… «El principio de reinterpretación debe denominarse la propiedad de las partículas de la materia que consiste en lo siguiente: “no existen objetos con velocidad negativa que se muevan hacia adelante en el tiempo. Cualquier objeto con energía negativa, que se mueva hacia atrás en el tiempo (¡por ejemplo, el electrón! (Aut.)) puede y debe ser reinterpretado como su antiobjeto, que se mueve en la dirección opuesta en el espacio, pero dotado de energía positiva y que avanza en el tiempo. No existen objetos con energía positiva que se muevan hacia atrás en el tiempo. Las señales físicas son transportadas únicamente por objetos que avanzan en el tiempo, o únicamente por objetos con energía positiva» (5).
De acuerdo con E. Recami se sigue:
a) las partículas positivas protón y positrón – bradiones.
b) las partículas negativas antiprotón y electrón – taquiones.
6. Según el «Modelo de Polarización del Vacío Físico Inhomogéneo» de V.L.Dyátlov (4), los dominios de sustancia y antisustancia son absolutamente iguales en derechos y flotan libremente en todo el espacio del vacío astrofísico, estando separados entre sí por el cono de luz». De lo cual se deduce que la sustancia y la antisustancia en el Universo son absolutamente equivalentes.
7. En 1922, el matemático francés Élie Cartan afirmaba con total certeza:
«En la Naturaleza deben existir campos generados por la rotación».
Esta suposición del matemático recibió una justificación teórica rigurosa sólo a finales del siglo XX: Filimonov (8,9), G.I.Shipov (3), A.E.Akimov (7) y otros. La afirmación mencionada de É.Cartan tiene un carácter fundamental y permite explicar desde el punto de vista de la física clásica, por ejemplo, la teoría de Bohr y la estabilidad de cualquier objeto del Universo que gire con velocidad angular constante y, por lo tanto, no emita ni absorba energía. La emisión o absorción de energía ocurre únicamente cuando:
dω / dt ≠ 0,
es decir, cuando hay incremento de la velocidad angular.
Los descubrimientos expuestos en el trabajo de los presentes autores «El Universo Electromagnético» confirman de manera absoluta e irrefutable la afirmación de Élie Cartan de que «En la Naturaleza deben existir campos (y propiedades \left(\overset{\pm}{p}\right) и \left(\overset{\mp}{e}\right)(de los autores)) generados por la rotación»:
-
La masa en reposo de protones — antiprotones, electrones — positrones.
-
La carga elemental \left (\overset{\pm}{p}\right ) и \left (\overset{\mp}{e}\right ).
-
El campo gravitatorio o adicional electrodinámico.
¡Son resultado de la rotación!
8. En la teoría del vacío físico de G. I. Shipov se afirma que el constituyente de todos los tipos de materia (vacío físico, partículas elementales, gases, plasma, líquidos y sólidos) es el campo torsional primario, generado a partir de la «Nada» absoluta ((3) págs. 135-141).
La «Ley global de conservación», expresada por la igualdad:
0 ≡ 0,
en este caso toma la forma:
((3) pág.139).
Por consiguiente, de la «Nada» absoluta nacen neutrinos-torsiones positivos – derechos, con espín (+1/2ħv) y negativos – izquierdos, con espín (−1/2ħv), en pares, cuya suma de energías cinéticas de rotación es igual a cero (3,7,8,9).
9. Según la teoría de Recami (5) y la teoría de Dyátlov (4), debe reconocerse que los neutrinos-torsiones positivos son bradiones y al nacer se dirigen hacia la región tiempo-semejante del cono de luz, adquiriendo en su propio sistema de referencia una velocidad nula, mientras que los neutrinos-torsiones negativos son taquiones y al nacer se dirigen a la región espacio-semejante del cono de luz, adquiriendo en su propio sistema de referencia una velocidad igual a 2C.
10. Dado que los fotones (cuantos γ) están compuestos de un neutrino-torsión derecho y uno izquierdo, es decir, de un bradión y un taquión (8,9), y dado que éstos se atraen entre sí, al fusionarse en un fotón (cuanto γ), este último adquiere la velocidad:
nace un luxón con espín:
|-1/2ħ| + |1/2ħ| = 1ħ,
poseedor de la velocidad límite en la naturaleza y, por lo tanto, de la energía cinética máxima, a una frecuencia propia (de rotación), ya que en este caso el bradión debe adquirir energía infinita para acelerarse y el taquión para desacelerarse, hasta alcanzar la velocidad de la luz (5,9). ¡Por lo tanto, la Naturaleza posee un «colisionador» inaccesible para la humanidad, en el cual solo se combinan los cercanos en frecuencia:
\left ( \overset{+}\Theta\right ) y \left ( \overset{-}\Theta\right ).
11. Si la energía de los cuantos γ es suficiente para el nacimiento de un par:
\left({\overset{+}{e}}+{{\overset{-}{e}}}\right) o \left({\overset{+}{p}}+{{\overset{-}{p}}}\right),
(la sustancia y la antisustancia (10) consisten solo de ellos), entonces, en la dispersión inelástica en bariones o entre sí ((21) pág. 649), tales pares nacen. El nacimiento de pares estables de portadores de carga eléctrica elemental:
\left (\overset{\pm}{p}\right ) y \left (\overset{\mp}{e}\right ),
significa que, en la colisión inelástica de cuantos γ, se produce una descomposición en núcleos de bradiones:
\left (\overset{+}{p}\right ) y \left (\overset{+}{e}\right),
– núcleos de taquiones:
\left (\overset{-}{p}\right ) y \left (\overset{-}{e}\right ),
que representan torsiones «enrolladas» en un lazo cerrado:
– partones – núcleos:
\left (\overset{+}{p}\right ) y \left (\overset{-}{p}\right ),
– partinos – núcleos:
\left (\overset{-}{e}\right ) y \left (\overset{+}{e}\right ),
formando el centro de rotación, creando así su propio sistema de referencia:
positivos – en la región tiempo-semejante del cono de luz,
negativos – en la región espacio-semejante del cono de luz.
12. Según la relación de indeterminación de Heisenberg, los partones y partinos se ven obligados a rotar con energía cinética:
ΔE≥\frac{\hbar{\times}c}{\Delta r}.
En el trabajo 12 pág.439, en el artículo «Breve revisión de los datos experimentales», se dice que… «el espín del partón es 1/2, y no 0, o 1». Por lo tanto, el espín del protón está determinado por la rotación del partón «dentro» del protón. El radio de rotación del partón puede determinarse por la energía máxima de excitación del vacío en las proximidades de la esfera de rotación (véase apéndice – 1, curva – 1).
13. Para el protón y el antiprotón, la energía máxima de excitación del vacío es igual a la energía de los bosones vectoriales intermedios virtuales:
E\left( \overset{\mp}{w}\right) ) = 80 ÷ 100(Gev) (11).
14. Para el electrón y el positrón, la energía máxima de excitación del vacío físico es del orden de la energía de los kaones virtuales:
E\left( \overset{\mp}{K}\right)= 493,71 × 106(ev)
15. En el artículo «¿Qué es el espín?», Ohanian H.C. – Amer, j Phys., junio de 1986, v.54, n.º 6, se dice:
«…si se comparan los cálculos del momento angular en los campos de Dirac y electromagnético, se hace evidente que el espín del electrón es completamente análogo al momento angular de una onda clásica circularmente polarizada».
«Espín en el campo de Dirac:
S = ħ / 2 ∫ Ψ†σ Ψ d³x,
no es más que el valor medio de la magnitud representada por el operador cuántico-mecánico (σ); el operador de espín debe tener la forma:
S(op) = (ħ / 2)σ,
es decir, el espín aparece como resultado de un flujo circular de energía (p. 75)».
Energía de la onda:
U = 1 / M(0) C² ∫ E_0^2 d³x.
Espín:
S = 1 / M(0) C² ∫ (E_0^2/ω) d³x.
Relación del espín con la energía:
S(z) = 1 / ω.
Si se normaliza la onda de modo que su energía sea igual a la energía de un cuanto:
U = 1 / 2 ħω,
entonces su espín:
S(z) = 1 / 2 ħ
(p. 74).
Justamente con este espín cuenta el partón ((12) p. 439), que «forma el núcleo» del protón (3,5). En la conclusión del artículo de G. Ohanian (p. 79), se afirma:
… «La particularidad del cuadro físico representado es la estrecha relación entre espín y momento orbital. Ambas magnitudes surgen en conexión con el flujo circular de energía en los campos de onda, y la diferencia entre ellas está determinada por el procedimiento matemático de dividir el momento angular en dos partes independientes. El enfoque general para considerar la naturaleza del espín y del momento orbital permite comprender la naturaleza del espín tan bien como la del momento orbital, y dejar de considerarlo como una magnitud enigmática».
De este modo, la frecuencia de rotación de los partones y del partino es la frecuencia de circulación de la energía de sus ondas.
16. Según Newton (2), la energía del campo decrece con la ley del radio inverso, y según Oleinik (6), el campo propio (a diferencia del radiado) es una onda estacionaria, rígidamente ligada al lugar de localización del núcleo de una partícula cargada y estable:
\left (\overset{\pm}{p}\right ) y \left (\overset{\mp}{e}\right ),
cuya energía decrece asintóticamente en todo el espacio del Universo.
En el trabajo de N.A.Zhuk ((14) p.54) se afirma que la energía del campo gravitatorio está limitada por la distancia:
donde ρ₀ es la densidad media del Universo.
17. La interacción fundamental primaria de la Naturaleza es la interacción coulombiana y fuerte:
«constitución» que se representa de la siguiente forma:
donde interactúan todos los objetos, por ejemplo A y B, que contienen N átomos. El mecanismo de aparición de la carga excedente |Δq| del nucleido – véase el capítulo 19 (en el ejemplo del átomo de protio).
18. La interacción fundamental secundaria de la Naturaleza es la gravitatoria, cuando, por ejemplo, en los átomos de protio (hidrógeno ligero) o en los neutrones, que también están compuestos de un protón y un electrón (3,15), según lo requiere el teorema del virial (R. Clausius (11)), el electrón y el protón están obligados a girar alrededor de un centro de gravedad común. Como la masa en reposo del electrón es 1836 veces menor que la del protón, la velocidad orbital del electrón es 1836 veces mayor que la del protón. Como resultado surgen dos microcorrientes circulares – la corriente de un electrón y la corriente de un protón, cuyo valor en el sistema SI es:
I(e²) = |1,60218 × 10⁻19(cl)|² = 2,56701023 × 10⁻38(A).
Esta corriente, como cualquier corriente continua, «excita en el espacio circundante un campo magnético (según Ampère – electrodinámico (57)). La intensidad de este campo, en un punto cualquiera del espacio, depende de la intensidad de la corriente y de la distancia entre la fuente del campo y el punto de observación (S.V.Vonsovski, «Magnetismo», Nauka, Moscú 1971, p. 41).
19. Cálculo del coeficiente gravitatorio para el protio (¦H).
20. Respuesta al artículo «El Universo en tonos oscuros», «Universo, espacio, tiempo» (ВПВ) n.º 9 y n.º 10, 2005.
«La distribución de la masa de las galaxias estacionarias individuales según el radio se determina a partir de las curvas experimentales de rotación diferencial de las galaxias mediante la relación:
M(r) = r × V² / G» (16).
De esta relación se deduce que si G del protio es dos veces menor que la «estándar» G, y G del helio – 4 es menor en ~7,4%, entonces la masa virial de dichos nucleidos en el Universo es tantas veces mayor, ¡pero de estos nucleidos está compuesto en ~98% el Universo! La masa virial del Sol tampoco es ~1,99 × 10³⁰(kg), sino ~3,3 × 10³⁰(kg). En consecuencia, gran parte de la masa oculta (oscura) obtiene una explicación natural.
21. En la revista «Universo, espacio, tiempo», n.º 11, 2006, en el artículo «¿Se ha embotado la navaja de Occam en la “materia oscura”?», se consideran 12 hipótesis que intentan explicar la expansión acelerada de la Metagalaxia, y en el «P.S.» se dice:
«Para la interpretación de hechos aislados se proponen tímidas variaciones sobre explicaciones ya existentes, y este parcheo episódico y asistemático de la teoría cosmológica moderna ya no es capaz de asegurar un progreso sustancial en la comprensión del universo. Aquí se necesitan… “ideas locas”».
El problema de la expansión acelerada del Universo se explica por el siguiente hecho fundamental experimental: las partículas de sustancia y antisustancia nacen y se aniquilan únicamente por pares (no existe desintegración espontánea del protón y del electrón ni de sus antipartículas). Por lo tanto, la cantidad de sustancia y antisustancia en el Universo es igual, con una precisión de hasta una diada y una antidiada.
Pero las diadas tienen una carga electrodinámica excedente (−Δq) y, en consecuencia, superan en esa magnitud el valor absoluto de la carga positiva del protón, mientras que las antidiadas poseen una carga electrodinámica excedente (+Δq) y, por lo tanto, superan en esa magnitud la carga negativa del antiprotón (véase Apéndice-2). Así, las diadas con |Δq| del mismo signo gravitan, y las de signo opuesto antigravitan; de este modo, se produce la separación de diadas y antidiadas, es decir, la división de la sustancia y la antisustancia en escalas metagalácticas, en galaxias y antigalaxias.
En el trabajo «Mundos y Antimundos» (10), los científicos suecos Hannes Alfvén y Oskar Klein sostienen que para la cosmología debe tener importancia fundamental la simetría entre sustancia y antisustancia, es decir, que en el universo observable
«cada segunda galaxia debe ser una antigalaxia».
«Puesto que la sustancia y la antisustancia pasan por las mismas etapas de desarrollo, la aparición de elementos y antielementos está condicionada por los mismos factores» (p. 108).
«Sin embargo, es difícil encontrar un proceso que pueda conducir a la separación de la ambiplasma en una cantidad suficiente para formar una galaxia entera de pura sustancia o de pura antisustancia. En particular, el asunto radica en que la separación de la ambiplasma en tales escalas gigantescas está vinculada al transporte de partículas de sustancia y antisustancia en direcciones opuestas a distancias enormes. Las estimaciones, basadas en una elección razonable de fuerzas y tiempos característicos del proceso, muestran que, al parecer, ninguno de los mecanismos de transporte concebibles es capaz de hacer frente a tal tarea» (p. 93).
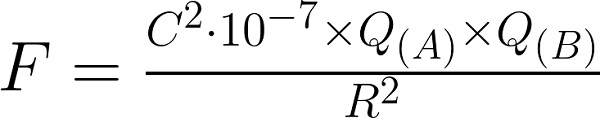
Los autores del presente trabajo afirman que dicho mecanismo es la antigravitación entre sustancia y antisustancia, debido al déficit de atracción entre protones de sustancia y antiprotones de antisustancia, en comparación con la repulsión excedente entre la carga del protón y la carga excedente del positrón (+Δq), la carga del antiprotón y la carga excedente del electrón (−Δq) con una fuerza:
F = C² × 10⁻⁷ × |Δq|² (cl) / r² (N).
Por lo tanto, las galaxias y antigalaxias se alejan con aceleración, debido a la antigravitación entre ellas.
22. La ambiplasma (10) se genera a partir de la absoluta «Nada» (3) en los «cuerpos D» de los cuásares (término del académico Ambartsumian), en los cuales, como consecuencia de la atracción coulombiana, los protones se unen con los electrones en átomos (diadas) de hidrógeno, y los positrones con los antiprotones en átomos (antidiadas) de antihidrógeno.
Las diadas y antidiadas nacidas antigravitan entre sí, lo que conduce a su separación y a la formación de nubes de hidrógeno primario y antihidrógeno en direcciones diametralmente opuestas desde el «cuerpo D».
Simultáneamente, con la misma probabilidad y con la fuerza coulombiana, los protones se «atraen» con los antiprotones y los electrones con los positrones, lo que conduce a su aniquilación y a la generación de estallidos de rayos gamma ((16), «Universo, espacio, tiempo» (ВПВ), n.º 10, 2006).
Las tesis sobre los «agujeros negros».
- Dejar el comentario – no hace falta registro. Para insertar la ecuación en los comentarios– utilizar el sistema «LÁTEX«.
- La fórmula se abre con la palabra – katex [entre] y se cierra – /katex [/entre].
- Comentarios con enlaces – entraran en el correo no deseado, para verificar el contenido.










