![]()
© 2006
Авторы — Н.Н.Розанов, О.Н.Розанов
Уважаемые читатели, это актуализированный вариант расчёта значения дополнительного электродинамического отрицательного заряда (гравитационного коэффициента (- Δq)), для атома Протия, алгоритм которого упрощён. Версия 2006 года, для интересующихся, будет доступна в ПДФ формате.
За основу расчёта используется значение энергии связи атома и т.к.:
1(eV) = 1,6021892 × 10-19(j);
соответственно энергия связи, пары протон-электрон (антипротон-позитрон) в джоулях:
E(¦H) = 13,62323824 (eV) = 2,182700518 × 10-18(J).
Учитывая отношение масс и энергий электрона и протона (\left(\overset{\mp}{p}\right) > \left(\overset{\pm}{e}\right)в ∼1836 раз), рассчитаем распределение кинетических энергий в паре для электрона:
2,182700518 ×10-18(J) / 1836 = 0,001188835 ×10-18(J)
1,18883470479302832244008714597×10-21(J)
и для протона:
2,182700518 ×10-18(J) — 0,001188835 ×10-18(J) = 2,181511683 ×10-18(J).
Далее, установим квадрат линейной скорости, для электрона и протона, с помощью уравнения:
T = m‘ × V2 / 2
откуда:
V2 = 2T / m‘,
где релятивистская масса равна:
m‘ = m(0) + (T/C2)
так как:
Δm = T / C2.
1 (а. е. м.) = 1,660 539 066 605 × 10−27(кг) — Википедия, значение рекомендуемое с 2018 г.
\left ( \overset{\pm}{e} \right ) = 5,4857990906516×10-4 (а. е. м.).
m(0) = 1,6605390666 ×10−27(кг) × 5,4857990906 ×10-4(а. е. м.) =
= 9,109383701573165645249818 ×10− 31(кг).
Δm = T/C2 = 1,1888347048×10-21(J) /8,98755182 × 1016(м 2/с 2)
= 0,13227569961238101906600046128802 × 10-37(кг)
Δm = 0,000000132275699612381019×10-31(кг).
m’ = 9,1093837015 ×10−31(кг) + 0,0000001323×10-31(кг) =
= 9,109383833848865257630837×10-31(кг).
= 0,0009109383833848865257630837×10-27(кг)
V2 = 2T/m‘ = 2 ×1,1888347047×10—21(J)/9,1093838338×10-31(кг)
= 0,26101319836266598658835996234983×1010 (m2/sec2)
= 26,101319836266598658835996234983×108(m2/sec2).
V = 5,1089450805686489253191027290037×104(m/sec).
\left ( \overset{\mp}{p} \right ) = 1,007 276 466 621(53) (а. е. м.).
m(0) = 1,660 539 066 6 ×10−27(кг) × 1,007 276 466 6(а. е. м.)
= 1,67262192369689786399700565 ×10−27(кг).
Δm = 2,182700518×10-18(J)/ 8,987552×1016(m2/sec2)
= 0,242858179624440559565052×10-34(кг)
= 0,0000000242858179624440559565052×10-27(кг).
m’ = 1,67262192369×10-27(кг) + 0,000000024285817×10-27(кг)
= 1,6726219479827158264410616065052 ×10-27(кг).
Линейную скорость протона рассчитываем с помощью уравнения:
V\left(\overset{\mp}{p}\right) = V\left(\overset{\pm}{e}\right) × (m‘\left(\overset{\pm}{e}\right) / m‘\left(\overset{\mp}{p}\right))
9,1093838338×10-31(кг) / 1,6726219479 ×10-27(кг) × 5,1089450805×104(m/sec)
= 5,4461702148 × 10-4(кг)× 5,1089450805 × 104(m/sec)
= 27,824184527222679361551577751067(m/sec).
= 0,0027824184527222679361551577751 × 104(m/sec).
Отнимем линейную скорость протона от скорости движения электрона и получим значение Δ скорости, которое соответствует возбуждению \Delta\left(\overset{-}{q}\right) в диаде и при этом значение \overset{+}{\gamma} приравняем к 1:
5,108945080 × 104(m/sec) — 0,002782418452 × 104(m/sec)
= 5,1061626621159266573829475712286 × 104(m/sec)
или :
V2 = 26,072897131986806982931986037314 × 108(m2/sec2).
Расчёт значения — \left(\overset{-}{\beta}\right)^2 для электрона:
β2 = V2/C2
26,072897131 ×108(m2/s2)/8,98755182×1016(m2/s2)
= 2,9010010350056381630889985830773×10-8
= 0,00000002901001035005638163089.
Перейдём к расчётам:

((28) стр.180. (40) стр.209).
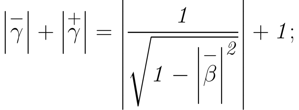
\overset{-}{\gamma} = 1 /(1 — 0,00000002901001035005638163089)½)
= 1 /(0,99999997098998964994361836911)½
= 1 /0,999999985494994719774220094866
= 1,000000014505005490620961136295.
\left|\overset{-}{\gamma} \right|+\left| \overset{+}{\gamma}\right|
1,000000014505 +1 = 2,000000014505005490620961136295.
Далее:

\Delta\left(\overset{-}{q}\right) = 2,00000001450500549 × ((1,6021892×10-19)2 + (1,6021892×10-19)2) =
2,00000001450500549 × 5,13402046519328×10-38(cl) =
10,268041004855555036588907492935 ×10-38 (cl) =
— 1,0268041004855555036588907492935 ×10-37(cl).
Количество атомов в одном килограмме H2:
0,000910938383×10-27(кг) + 1,6726219479827 ×10-27(кг)
= 1,6735328863661007129668246902052 ×10-27(кг).
N(at/kg)= 1 / 1,6735328863661007129668246902052 ×10-27(кг)
= 0,5975383024419639647589278802372 ×1027(at/kg)
= 5,9753830244196396475892788 ×1026(at/kg).
Следовательно коэффициент G для водорода, равен:

где
K — электрический коэффициент в системе СИ — 8,9875517873 × 109 (N×m2/ cl2).
N — количество атомов ¦H в 1(кг) инертной массы H2 :
8,9875517873 × 109|— 1,0268041 × 10-37(cl) × 5,9753830244196 × 1026|2 =
8,9875517873 × 109|- 6,13554779144586622464409×10-11|2 =
8,9875517873 × 109 |37,644946701116246740591916353762 × 10-22 |=
338,33590800643056229847467728519 × 10-13(N×m2/kg2);
G(¦H) = 3,3833590800643056229847467728519 × 10-11(N×m2/kg2).

Следовательно инерционная масса протия во Вселенной, приблизительно в два раза больше, сравнивая полученный результат с самыми точными измерениями «гравитационной постоянной» (опубликованными в Phus.Rev.Lett.2003.91.№20) для меди и легированной стали.
Т.к. все вещественные объекты во Вселенной состоят из двух частиц – протона и электрона, и антивещественные из античастиц – антипротона и позитрона ((5)стр.42-128,13), следовательно законы мегамира те же, что и для микромира — соотношение неопределенности Гейзенберга, закон обратного квадрата расстояния и теорема о вириале (Клаузиуса).
«…Результат вычисления гравитационной постоянной протия и антипротия, конституентов койновещества и антивещества Вселенной, решает проблему «скрытой», или «темной», а точнее – «вириальной» массы:
m(r)= rv2/G,
где:
m(r) — масса внутри сферического объема радиусом (r).
V(r) — скорость вращения на расстоянии (r) от центра (тяжести).
G — постоянная тяготения».
«…Если основная масса сосредоточена в объеме с радиусом (r), то за пределами этого объема:
V ~ r1/2».
((17)стр.629).
Очевидно, что если (G) протия и антипротия в два раза меньше, самого точного экспериментального значения полученного на крутильных весах (54), тогда вириальная масса Вселенной в два раза больше вычисленной «…по светимости отдельных галактик и по соотношению масса-светимость для галактик» ((17)стр.623)),(…и гравитационной постоянной, полученной на крутильных весах для металлов, (а не для протия (Авт. Н.Н.Розанов).
В статье «Вселенная в темных тонах», доктора ф.м.н., специалиста в области космонавтики Л.В.Ксанфомалити, сказано:
«До 70-х годов астрофизики наивно предполагали существование Темной массы только в скоплениях галактик. Затем её «допустили» и в нашу галактику, где на неё приходится примерно столько же массы, сколько и на обычную материю»[прим.1]. «…В этом смысле вокруг и внутри нашей звездной системы находится еще одна галактика. Темная масса никак не взаимодействует с излучением любых видов, никак не светит сама и ничего не поглощает. Но она подвержена закону всемирного тяготения [прим.2] и проявляет себя, концентрируясь вокруг галактик и других массивных объектов. Впрочем, правильнее сказать, наверное, что это галактики и другие массивные объекты концентрируются вокруг скоплений таинственной Темной массы». (Журнал «Вселенная, пространство, время» №10,2005 г., стр.7)
[прим.1]Следует уточнить, что «гравитирует» не вся материя, а только та её часть, которая называется «веществом» (20). «Вещество» обладает вириальной массой покоя и избыточным электродинамическим (магнитным) зарядом, т.е. состоит из связанных диад — \left(\overset{\mp}{p}\right )+\left (\overset{\pm}{e}\right ), частицы которых, в соответствии с теоремой вириала, вращаются вокруг общего центра тяжести со скоростями обратно пропорциональными их массам покоя, в результате возникает избыточный заряд со знаком лептона диады, величиной:
\left(\Delta\overset{\pm}{q}\right) ≈1÷2·10-37(Кл.).
[прим.2]«Закон всемирного тяготения» следует назвать — «Закон всемирного взаимодействия», т.к. койновещество и антивещество между собой антигравитируют (13),(43).
Исходя из вычисленного значения гравитационной постоянной для протия, вириальная масса солнца должна составлять:
M(Солнца)= 1,99·1030(kg) + 1,99·1030×70% = 1,99·1030 + 1,3930·1030 ≌ 3,383 · 1030(kg)
((17) стр. 37).
Гравитационная постоянная гелия составляет:
G = 6,213116227171935·10-11(N·m2·kg-2)
(См.пример-6 + Приложение-6).
Следовательно, гелий-4 меньше влияет на величину вириальной массы солнца, но в случае необходимости её легко вычислить (~+7%, от вычисленной по стандартной G).
- Уважаемые посетители, что-бы оставить свой комментарий — регистрация не предусматривается.
- Набор математических формул, в комментариях, редактируется в системе “LATEX”. Формула открывается словом katex [в квадратных скобках] и закрывается /katex [/в квадратных скобках].
- Если ваш комментарий имеет ссылку, он автоматом направляется в спам, для проверки. Без ссылок, все комментарии публикуются без задержек.











Физики из Великобритании и Германии нашли альтернативный способ проверки принципа эквивалентности в гравитационном поле темной материи, собранной в центре нашей галактики. Для этого ученые предлагают использовать двойные пульсары, период вращения которых будет изменяться под действием силы, нарушающей принцип. Рассчитанное таким образом ограничение на параметр Этвёша составило примерно ?